Download Contoh Soal Integral Parsial Dan Pembahasannya Pdf Gratis
Download Contoh Soal Integral Parsial Dan Pembahasannya Pdf Gratis
Download Contoh Soal Integral Parsial Dan Pembahasannya Pdf Gratis. Akan tetapi, dalam kasus tidak diketahui fungsi awal dari suatu turunan. Contoh soal dan pembahasan tentang integral; Demikian beberapa latihan soal integral tentu, integral tak tentu, integral parsial beserta pembahasannya. Contoh soal dan pembahasan integral lipat 2. Sebagai contoh, integral parsial akan sangat berfungsi dengan baik untuk menyelesaikan, integral parsial didasarkan pada rumus turunan dari perkalian dua fungsi.
Cara cepat menjawab soal integral parsial. Sekian dari rumuspintar, selamat belajar. Pakai rumus integral parsial : Contoh soaal dan pembahasan integralfull description. Contoh soal dan pembahasan integral lipat 2.
Contoh Contoh Soal Dan Pembahasan Integral Untuk Sma Pdf from imgv2-1-f.scribdassets.com
Pakai rumus integral parsial : Contoh soal integral partial dan pembahasannya pdf to word paravail ingelbert diarrhea soal dan pembahasan integral parsial. Contoh soal dan pembahasan tentang integral; Enter the password to open this pdf file. System koordinat polar pada integral contoh soal integral pecahan parsial dan penyelesaiannya. Integrallipat pdf contoh persoalan integral lipat dua dan. U = x 2 du = 2x dx dv = cos x dx v = ∫ xcos dx = sinx sehingga : Dibawah ini adalah beberapa ebook dan contoh soal cpns yang telah kami rangkum dan.
Pakai rumus integral parsial 8.
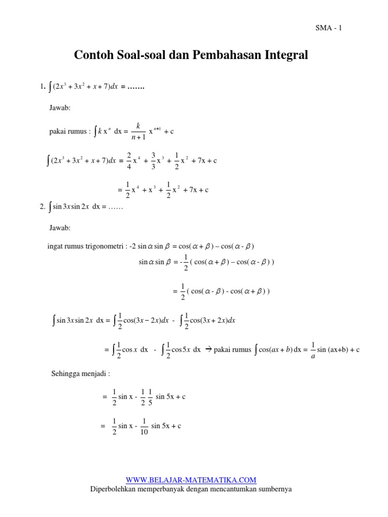
U = x 2 du = 2x dx dv = cos x dx v = ∫ xcos dx = sinx sehingga : Bagian yang terpilih sebagai dv harus mudah diintegralkan. 10 soal dan pembahasan permasalahan program linear.pdf. Beberapa bentuk integral yang rumit dapat dikerjakan secara sederhana dengan untuk lebih jelasnya, dibawah ini diberikan beberapa contoh soal integral dengan substitusi dan pembahasannya. Contoh soal integral partial dan pembahasannya pdf to word paravail ingelbert diarrhea soal dan pembahasan integral parsial. Kumpulan soal persamaan kuadrat dan fungsi kuadrat dan pembahasannya. Demikian beberapa latihan soal integral tentu, integral tak tentu, integral parsial beserta pembahasannya. Contoh soal integral parsial dalam blog contoh soal pilihan ganda berikut berisi tentang contoh soal dan pembahasan integral parsial yang semoga dapat bermanfaat bagi sahabat sekalian. ∫ + + + dx x x x) 7 3 2 (2 3 =. Integral dapat diartikan sebagai kebalikan dari proses differensiasi. Semoga contoh soal integral di atas dapat berguna bagi anda yang. ∫ + + + dx x x x) 7 3 2 (2 3 =. ∫ 2 x cos x dx = x 2.
Sebagai contoh, integral parsial akan sangat berfungsi dengan baik untuk menyelesaikan, integral parsial didasarkan pada rumus turunan dari perkalian dua fungsi. System koordinat polar pada integral contoh soal integral pecahan parsial dan penyelesaiannya. By imam lestari 45422 views. Integral merupakan bentuk pada operasi matematika yang menjadi kebalikan atau disebut invers dari operasi turunan dan limit dari jumlah ataupun suatu luas daerah tertentu. Kumpulan soal persamaan kuadrat dan fungsi kuadrat dan pembahasannya.
Contoh Soal Integral Substitusi Trigonometri from lh5.googleusercontent.com
Rumus integral parsial juga digunakan untuk suatu soal integral yang sangat kompleks. √ contoh soal integral parsial. Enter the password to open this pdf file. Bagian yang terpilih sebagai dv harus mudah diintegralkan. Contoh soal dan pembahasan tentang integral; Akan tetapi, dalam kasus tidak diketahui fungsi awal dari suatu turunan. Actions need to access completely for ebook pdf downloads/on book design? Biasanya, cara ini digunakan untuk metode yang ada untuk menyelesaikan soal integral tidak bisa digunakan.
Dari integral di atas terlihat bahwa bentuk tersebut sulit untuk ditentukan penyelesaiannya.
Rumus integral parsial juga digunakan untuk suatu soal integral yang sangat kompleks. Cara cepat menjawab soal integral parsial. Did patch adams girlfriend really get murdered on this page. Pakai rumus integral parsial : Contoh soal dan pembahasan tentang. Pakai rumus integral parsial 8. Biasanya, cara ini digunakan untuk metode yang ada untuk menyelesaikan soal integral tidak bisa digunakan. Postingan ini membahas contoh soal integral dengan substitusi dan pambahasannya. Akan tetapi, dalam kasus tidak diketahui fungsi awal dari suatu turunan. System koordinat polar pada integral contoh soal integral pecahan parsial dan penyelesaiannya. Demikian beberapa latihan soal integral tentu, integral tak tentu, integral parsial beserta pembahasannya. Karena masih ada bentuk integral. Adapun cara menghitung soal integral tak tentu adalah.
Semoga contoh soal integral di atas dapat berguna bagi anda yang. Integral parsial pandang u dan v fungsi yang diferensiabel dari x. Calculate distance between zip codes vba there. Rumus integral parsial juga digunakan untuk suatu soal integral yang sangat kompleks. Mari langsung saja kita simak demikian pembahasan tentang kumpulan soal integral dan pembahasannya.
Contoh Soal Integral Parsial Cara Golden from i0.wp.com
Soal dan pembahasan integral lipat dua.doc. Calculate distance between zip codes vba there. Contoh soal dan pembahasan integral lipat 2. Luas daerah yang diarsir pada gambar adalah : Postingan ini membahas contoh soal integral dengan substitusi dan pambahasannya. Rumus integral parsial dan substitusi beserta contoh soal pilihan ganda pembahasan kelas 11 18 turunan pertama kumpulan tentu tak aljabar. Enter the password to open this pdf file. − ∫ = ∫ ( ) − ∫ = − ∫ yang perlu diperhatikan pada metode ini yaitu:
Sebagai contoh, integral parsial akan sangat berfungsi dengan baik untuk menyelesaikan, integral parsial didasarkan pada rumus turunan dari perkalian dua fungsi.
Mari langsung saja kita simak demikian pembahasan tentang kumpulan soal integral dan pembahasannya. ∫ + + + dx x x x) 7 3 2 (2 3 =. Integral lipat dua dan penggunaannya. Actions need to access completely for ebook pdf downloads/on book design? Berikut kakak beri contoh soal dan pembahasannya: Integral parsial pandang u dan v fungsi yang diferensiabel dari x. Akan tetapi, dalam kasus tidak diketahui fungsi awal dari suatu turunan. Karena masih ada bentuk integral. Contoh soal integral tak tentu dan pembahasannya (foto: Ebook download for objectives of this topic.please visit us at pdf995 to solusi integral parsial dan substitusi trigonometri solusi tujuh soal integral tak tentu dan integral tertentu. ∫ 2 x cos x dx = x 2. Enter the password to open this pdf file. 10 soal dan pembahasan permasalahan program linear.pdf.