View Pertanyaan Seputar Bep PNG. Pertanyaan seputar pengolahan citra yang biasanya keluar saat uas. Pertanyaan dan jawaban seputar penerimaan mahasiswa ui 2021/2022. Berbagai pertanyaan seputar letter of credit yang perlu kamu cermati! Agar produk yang dibuat oleh sebuah perusahaan dapat diterima oleh konsumen, bagaimana cara perusahaan tersebut melakukannya? Karena setiap masalah yang datang sudah sepaket dengan solusinya.
Pembayaran pertama kamu adalah uang muka ditambah cicilan pertama. Tahapan pertama jika ingin mengajukan kpr adalah pastikan anda telah mendapatkan informasi mengenai perumahan yang hendak dibangun. Karena setiap masalah yang datang sudah sepaket dengan solusinya. Daftar pertanyaan dan jawaban mengenai pendaftaran universitas indonesia (ui). Percayalah bahwa tak ada masalah yang tidak menemukan solusi.
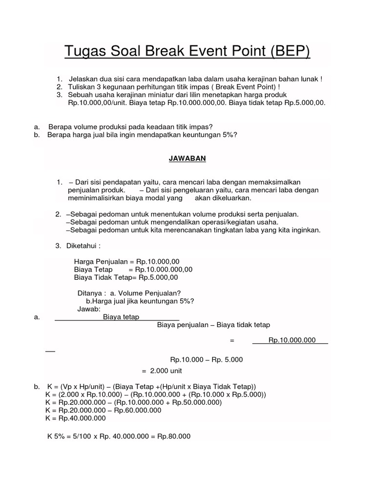
Contoh Penggunaan Rumus Untuk Menghitung Break Even Point from imgv2-2-f.scribdassets.com
Berikut adalah beberapa pertanyaan seputar persediaan yang semoga bisa membantu pembaca sekalian semakin. Kebakaran pabrik di kosambi bukan yang pertama kali terjadi di indonesia. Berbagai pertanyaan seputar letter of credit yang perlu kamu cermati! Apa saja sih program pendidikan yang. Agar produk yang dibuat oleh sebuah perusahaan dapat diterima oleh konsumen, bagaimana cara perusahaan tersebut melakukannya? Akhir maret lalu bapertarum resmi dilikuidasi oleh pemerintah dan digantikan ol… Pertama, autonomy, artinya member kesadaran, pengetahuan, dan kemampuan yang prima kepada setiap individu dan kelompok untuk mandiri dan hidup bersama dalam kehidupan yang lebih baik. Berikut daftar pertanyaan dan jawaban seputar pembayaran tunjangan tunjangan profesi guru/pendidik:
Agar produk yang dibuat oleh sebuah perusahaan dapat diterima oleh konsumen, bagaimana cara perusahaan tersebut melakukannya?
Berbagai pertanyaan seputar letter of credit yang perlu kamu cermati! Apa saja sih program pendidikan yang. Pertama, autonomy, artinya member kesadaran, pengetahuan, dan kemampuan yang prima kepada setiap individu dan kelompok untuk mandiri dan hidup bersama dalam kehidupan yang lebih baik. Pengertian bep ~ apa itu bep? Dalam mendukung proses pembelajaran jarak jauh (pjj) kementerian pendidikan dan kebudayaan bersama operator seluler di indonesia memberikan bantuan kuota data internet kepada para pendidik. Informasi ini bisa dicari via online maupun offline. Sampai sekarang ini, tegas allen, wacana estetis tentang opera. 3 pertanyaan penting seputar diet. Manfaat apa yang didapat dari bep? Pembayaran pertama kamu adalah uang muka ditambah cicilan pertama. Agar produk yang dibuat oleh sebuah perusahaan dapat diterima oleh konsumen, bagaimana cara perusahaan tersebut melakukannya? Meskipun kita sulit untuk memecahkan masalah yang sedang kita. Tetapi, ternyata masih banyak yang bertanya seputar perpanjangan paspor ini.
Pertanyaan dan jawaban seputar penerimaan mahasiswa ui 2021/2022. Berbagai pertanyaan seputar letter of credit yang perlu kamu cermati! Pembayaran pertama kamu adalah uang muka ditambah cicilan pertama. Percayalah bahwa tak ada masalah yang tidak menemukan solusi. Berikut adalah beberapa pertanyaan seputar persediaan yang semoga bisa membantu pembaca sekalian semakin.
Contoh Penggunaan Rumus Untuk Menghitung Break Even Point from imgv2-2-f.scribdassets.com
Sampai sekarang ini, tegas allen, wacana estetis tentang opera. 5 pertanyaan seputar persediaan (inventory). Berikut adalah beberapa pertanyaan seputar persediaan yang semoga bisa membantu pembaca sekalian semakin. Meskipun kita sulit untuk memecahkan masalah yang sedang kita. Berikut daftar pertanyaan dan jawaban seputar pembayaran tunjangan tunjangan profesi guru/pendidik: Percayalah bahwa tak ada masalah yang tidak menemukan solusi. Pertanyaan seputar pengolahan citra yang biasanya keluar saat uas. Daftar pertanyaan dan jawaban mengenai pendaftaran universitas indonesia (ui).
Sampai sekarang ini, tegas allen, wacana estetis tentang opera.
Pengertian bep atau break even point adalah total pendapatan yang didapatkan sama dengan biaya yang total keuntungan dan kerugian pada titik bep adalah 0, artinya di titik ini adalah titik impas. Telah kami rangkum di bawah ini. Pertanyaan yang sering diajukan seperti seputar pendaftaran sekolah kedinasan, unggah dokumen, apabila. Agar produk yang dibuat oleh sebuah perusahaan dapat diterima oleh konsumen, bagaimana cara perusahaan tersebut melakukannya? 11 maret 2020 11:44 diperbarui: Berikut adalah beberapa pertanyaan seputar persediaan yang semoga bisa membantu pembaca sekalian semakin. Oleh karena itu, reservasi.com berusaha untuk menghimpun beberapa pertanyaan seputar perpanjangan paspor. Berikut 30 pertanyaan yang bisa membantumu mengenal pasangan. Daftar pertanyaan dan jawaban mengenai pendaftaran universitas indonesia (ui). Percayalah bahwa tak ada masalah yang tidak menemukan solusi. Kebakaran pabrik di kosambi bukan yang pertama kali terjadi di indonesia. Pembayaran pertama kamu adalah uang muka ditambah cicilan pertama. Pertama, autonomy, artinya member kesadaran, pengetahuan, dan kemampuan yang prima kepada setiap individu dan kelompok untuk mandiri dan hidup bersama dalam kehidupan yang lebih baik.
Akhir maret lalu bapertarum resmi dilikuidasi oleh pemerintah dan digantikan ol… 5 pertanyaan seputar persediaan (inventory). Pertanyaan seputar pengolahan citra yang biasanya keluar saat uas. Apakah pembayaran pertama saya sudah termasuk cicilan pertama? Dalam mendukung proses pembelajaran jarak jauh (pjj) kementerian pendidikan dan kebudayaan bersama operator seluler di indonesia memberikan bantuan kuota data internet kepada para pendidik.
Contoh Kasus Analisis Bep from imgv2-1-f.scribdassets.com
Dalam mendukung proses pembelajaran jarak jauh (pjj) kementerian pendidikan dan kebudayaan bersama operator seluler di indonesia memberikan bantuan kuota data internet kepada para pendidik. Daftar pertanyaan dan jawaban mengenai pendaftaran universitas indonesia (ui). Pertanyaan seputar pengolahan citra yang biasanya keluar saat uas. Tahapan pertama jika ingin mengajukan kpr adalah pastikan anda telah mendapatkan informasi mengenai perumahan yang hendak dibangun. Pengertian bep ~ apa itu bep? 3 pertanyaan penting seputar diet. Percayalah bahwa tak ada masalah yang tidak menemukan solusi. Telah kami rangkum di bawah ini.
Documents similar to pertanyaan seputar tematik.
Pertanyaan yang sering diajukan seperti seputar pendaftaran sekolah kedinasan, unggah dokumen, apabila. Apakah pembayaran pertama saya sudah termasuk cicilan pertama? Akhir maret lalu bapertarum resmi dilikuidasi oleh pemerintah dan digantikan ol… Agar produk yang dibuat oleh sebuah perusahaan dapat diterima oleh konsumen, bagaimana cara perusahaan tersebut melakukannya? Percayalah bahwa tak ada masalah yang tidak menemukan solusi. Apa saja sih program pendidikan yang. Berbagai pertanyaan seputar letter of credit yang perlu kamu cermati! Informasi ini bisa dicari via online maupun offline. Pembayaran pertama kamu adalah uang muka ditambah cicilan pertama. Bisnishandal.com, istilah bep adalah sebuah istilah yang cukup sering dibahas dalam ilmu ekonomi akuntansi. Dalam mendukung proses pembelajaran jarak jauh (pjj) kementerian pendidikan dan kebudayaan bersama operator seluler di indonesia memberikan bantuan kuota data internet kepada para pendidik. Berikut daftar pertanyaan dan jawaban seputar pembayaran tunjangan tunjangan profesi guru/pendidik: Meskipun kita sulit untuk memecahkan masalah yang sedang kita.